PyFixest on professional-tier GPUs
PyFixest allows to run the fixed effects demeaning on the GPU via the demeaner_backend argument. To do so, you will have to install jax and jaxblib, for example by typing pip install pyfixest[jax].
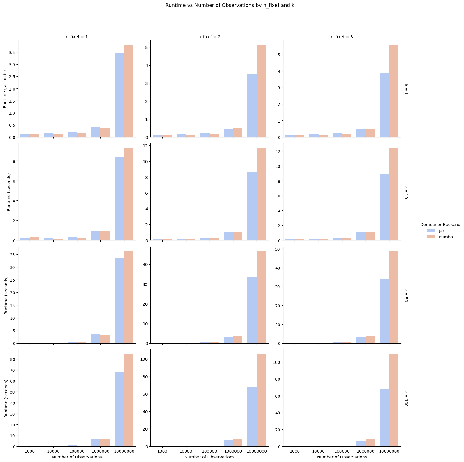
We test two back-ends for the iterative alternating-projections component of the fixed-effects regression on an Nvidia A100 GPU with 40 GB VRAM (a GPU that one typically wouldn’t have installed to play graphics-intensive videogames on consumer hardware). numba benchmarks are run on a 12-core xeon CPU.
The JAX backend exhibits major performance improvements on the GPU over numba in large problems.

On the CPU instead, we find that numba outperforms the JAX backend. You can find details in the benchmark section of the github repo.